Al realizar alguna actividad física existe una exposición a distintas condiciones ambientales como la temperatura, humedad, viento y sol. Dependiendo del gasto metabólico, de las condiciones ambientales, de la vestimenta o del equipo necesario, se produce la elevación de la temperatura corporal, lo cual incrementa la secreción de sudor para enfriar el cuerpo, dando como resultado la pérdida de agua y electrolitos (deshidratación e hiponatremia), si estas pérdidas no se reemplazan se producirá la deshidratación (Sawka et al, 1996; Sawka et al, 2005; Casa et al, 2005; Institute of Medicine. 2005).
Los competidores de distintos deportes en promedio tienen pérdidas de sudor en entrenamiento y competencia de aproximadamente 0.5 a 2 litros por hora, estas pérdidas son variables a causa del deporte o clima, y demuestra que es difícil generalizar una recomendación o a causa de éstas variaciones (Bergeron. 2003; Bergeron et al, 1995; Broad et al, 19996; Brown et al, 1998; Burke et al, 2005; Burke.2006; Cox et al, 2002; Godek et al, 2005; Maughan et al, 2005; Shirreffs et al, 2005; Speedy et al, 2001).
La deshidratación puede aumentar las concentraciones en el sudor de sodio y cloro (Na y Cl) (Morgan et al, 2004), las glándulas sudoríparas reabsorben estos electrólitos pero la habilidad de reabsorción de estos no aumenta proporcionalmente con su pérdida, por lo que se incrementan las pérdidas a mayor tasa de sudoración (Allan et al, 1971; Costill et al, 1975). La aclimatación al calor aumenta la habilidad para reabsorber Na y Cl, y usualmente los individuos aclimatados tienen menores concentraciones de Na en el sudor (50% menos por ejemplo) (Allan et al, 1971).
El ejercicio sostenido puede condicionar el aumento de las pérdidas de agua y electrolitos especialmente en climas cálidos. Hay una considerable variabilidad de pérdidas de agua y electrolitos entre atletas, si las pérdidas de agua y electrolitos no son reemplazadas, la persona se deshidratará.
El promedio del agua corporal total es de 60% del peso, con un rango aproximadamente entre 45 a 75%. Estas diferencias dependen de la composición corporal, la masa libre de grasa tiene de un 70 a 80% de agua, mientras la masa grasa tiene un 10% de agua. Esta relación es independiente de la edad, sexo y raza (Institute of Medicine. 2005). Los atletas entrenados tienen un mayor porcentaje de agua corporal debido a una mayor masa muscular, menor masa grasa y un efecto leve a causa del entrenamiento aeróbico. Los individuos con carga de glucógeno pueden tener un pequeño incremento del agua corporal total pero esto no siempre se observa (Zderic et al, 2004), sin embargo el excedente de agua asociado con el incremento de glucógeno muscular es menor de 200ml, aproximadamente 3ml por gramo de glucógeno almacenado (Sherman et al, 1982).
Efectos de la hidratación
Los deportistas pueden llegar a estar deshidratados mientras realizan actividad física, pero antes de mencionar la importancia de la rehidratación durante el ejercicio. En general se comienza la actividad física con un estado adecuado de hidratación y va ocurriendo la deshidratación conforme avanza el tiempo de actividad, en algunos deportes en donde es importante el peso para entrar a cierta categoría de peso (boxeo, lucha, levantamiento de poder) la persona podría iniciar con un estado de deshidratación o en aquellas situaciones como realizar ejercicio dos veces al día, mantener entrenamientos prolongados o en el calor que puede llevar a un déficit de fluidos condicionado por el entrenamiento anterior (Godek et al, 2005).
Los individuos que utilizan diuréticos pueden estar deshidratados, además de que el déficit de líquido sin proporcionar sodio es la causa más común de deshidratación durante el ejercicio en el calor, y tiene efectos negativos en el rendimiento (Sawka et al, 1999). La deshidratación aumenta la tensión fisiológica medida por la temperatura del núcleo, la frecuencia cardiaca y el esfuerzo percibido durante el ejercicio en el calor (Sawka et al, 1999).
La deshidratación (pérdida de más del 2% del peso corporal en agua) degrada el rendimiento deportivo aeróbico en condiciones templadas-calientes (Casa et al, 2005; Cheuvront et al, 2003; Institute of Medicine. 2005).
La deshidratación (de 3 al 5% de pérdida de peso) probablemente no degrade la fuerza muscular (Institute of Medicine. 2005; Evetovich et al, 2002; Greiwe et al, 1998) o el rendimiento anaeróbico (Cheuvront et al, 2006; Institute of Medicine. 2005; Jacobs. 1980).
El rendimiento mental y cognitivo se ven disminuidos con la deshidratación y la hipertermia (sobrecalentamiento) (Hancock et al, 2003; Rodahl. 2003), esta disminución afecta a quienes se dedican a los deportes en donde la habilidad y la táctica son importantes, y principalmente en ambientes de clima cálidos.
La hiperhidratación no es recomendable ya que aumenta la producción de orina (Institute of Medicine. 2005)
La Hidratación en relación a la salud
Los principales problemas a la salud resultan de la deshidratación y la sobre-hidratación, la deshidratación tendrá contribución al deterioro del rendimiento deportivo, mientras el exceso de líquidos que causa disminución del sodio (hiponatremia) puede causar debilidad grave o la muerte.
Recomendaciones de hidratación antes, durante y después del ejercicio
Ingesta de fluidos antes del ejercicio
La meta es empezar el ejercicio con una buena hidratación y con niveles de electrolitos normales. Si se consumen suficientes bebidas y alimentos de 8 a 12 horas transcurridos desde la última vez que se realizo ejercicio, la persona debería tener un buen estado de hidratación (Institute of Medicine. 2005). Si la persona aun no está bien hidratada será necesario un programa de pre hidratación. 4 Horas antes del ejercicio beber liquidos lentamente de 5 a 7 ml por kilo de peso, si el individuo no produce orina, o la orina es oscura, concentrada se debe beber otros 3 a 5 ml/kg 2 horas antes del evento. Consumir bebidas con sodio y/o algún refrigerio pequeño con un poco de sodio, ayudará a estimular la sed y a retener los fluidos consumidos (Maughan et al, 1996; Ray et al, 1998; Shirreffs et al, 1998).
También es necesario tener cuidado en no tomar más agua de la necesaria, ya que incrementa la necesidad de ir a orinar durante la competencia, lo cual no tiene ventaja en el rendimiento mayor que la hidratación normal (Freund et al, 1995; O´Brien et al, 2005), también la híper hidratación puede diluir y disminuir el sodio plasmático y causar hiponatremia (disminución del sodio en sangre) si los fluidos son agresivamente reemplazados durante el ejercicio (Sawka et al, 1999).
Ingesta de fluidos durante el ejercicio
El objetivo es evitar la deshidratación y los cambios excesivos en el balance de electrolitos que compromete el rendimiento deportivo. La cantidad y la tasa de reemplazamiento de fluidos dependen de la tasa de sudoración, y de las oportunidades para beberlos (Montain et al, 2006). Los maratonistas que corren a diferentes velocidades (8.5 a 15km/h), hidratados al principio y de diferentes pesos pierden de 0.4 a 0.8 litros/hora en promedio con los rangos más altos para los ambientes calurosos y los más bajos para ambientes más fríos. La recomendación general es tomar de 100 a 200ml de agua cada 15 minutos (por ejemplo, 100ml/15min en caso de entrenar en lugares cerrados o en clima frio, 200ml/15min en caso de una actividad extenuante, al aire libre en clima cálido) si el deporte o actividad física lo permite (Noakes. 2003).
La composición adecuada para las bebidas para deportistas con actividades prolongadas en climas cálidos es:
| Ingrediente | Cantidad por litro | Cantidad por 100ml |
| Na | 20 a 30 mEq/L (460 a 600mg/L) | 2 a 3 mEq (46 a 60mg) |
| K | 2 a 5 mEq/L (78 a 195mg/L) | 0.2 a 0.5mEq (7.8 a 19.5mg) |
| HCO (en forma de polímeros de maltodextrina) | 5 a 10% | 5 a 10% |
Rehidratación al terminar el ejercicio
La meta es reemplazar las pérdidas de fluidos y electrolitos. La agresividad para ser reemplazados depende de algunos factores como el déficit de los mismos, el tiempo de la recuperación disponible y la oportunidad para consumir una comida o refrigerio normal que contenga agua y electrolitos. Si no se reemplaza bien las pérdidas de sodio no se regresara a un estado normal de hidratación y se promoverá la producción de orina. Consumir sodio en el periodo de recuperación ayudará a mantener los líquidos ingeridos y ayudar a estimula la sed (Institute of Medicine. 2005). Las pérdidas de sodio son más difíciles de evaluar que las pérdidas de agua, las pérdidas de electrolitos tienen diferentes rangos según la aclimatación del atleta o la intensidad del ejercicio, las bebidas para deportistas son una buena alternativa, se recomienda en general tomar 1.5 litros de líquidos por cada kilo de peso perdido durante el entrenamiento (Shirreffs et al, 1997)
| Antes del ejercicio | Durante el ejercicio | Después del ejercicio |
|
Ingerir 30 minutos antes de realizar ejercicio de 300 a 600ml de agua para conseguir un grado máximo de hidratación, y eliminar por medio de la orina el exceso de líquidos (Segura, 2000). Si no está bien hidratado: 4 hrs antes del ejercicio beber 5 a 7ml/kg, si no se produce orina beber nuevamente de 3 a 5ml/kg 2 hrs antes del ejercicio. |
De 0.4 a 0.8 L/hora con el rango más alto para aquellos que compitan más rápido, en climas cálidos y el más bajo para los más delgados, ejercicio más lento y que compitan en climas más fríos. Para deportistas con actividad prolongada (>3hrs) en clima cálido utilizar bebidas para deportistas |
Beber 1.5 litros de agua por cada kilo de peso base* perdido, en ejercicio mayor a 3 horas tomar en cuenta el reemplazo de electrolitos y liquidos con bebidas deportivas *Calcular el peso base con un estado de hidratación normal en ayunas y después de orinar |
Alternativas a la hidratación
No siempre el agua es lo mejor para lograr un balance adecuado de liquidos y electrolitos en entrenamientos o competencias en donde la pérdida de liquido por medio del sudor es alta, las bebidas deportivas son excelentes en lograr este objetivo, ya que facilitan la retencion del liquido ingerido por el contenido de electrolitos, además si el sabor es agradable se puede ingerir una mayor cantidad, también se han estudiado algunas bebidas para la rehidratación, algunas que han logrado resultados satisfactorios son las siguientes:
1. – Agua de coco: Su sabor es muy aceptado y es una bebida muy adecuada para reponer líquidos y electrolitos similar a una bebida deportiva (Douglas et al, 2012), una desventaja es que las concentraciones de electrolitos pueden ser variables dependiendo el tiempo de maduración, lugar de origen, época del año etc.
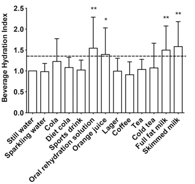
2. – Leche: Es otra opción muy buena, contiene cantidades muy similares de electrolitos que las bebidas deportivas, se ha visto que se puede mantener una adecuada rehidratación como en las bebidas deportivas, el inconveniente es el contenido de lactosa y grasa que puede evitarse consumiendo leche descremada y deslactosada.
Recientementee en un estudio sobre hidratación publicado por Ron Maughan y colegas realizaron el Beverage Hydration Index (BHI), un indicador del poder de re-hidratación de diferentes bebidas en comparación el agua que pueden consultar en: http://ajcn.nutrition.org/content/103/3/717.full.pdf al parecer los resultados no son del todo favorables para las bebidas deportivas.

Saludos
L.N.H. Rodrigo Mancilla Morales
rodmanci@gmail.com










